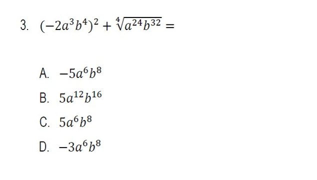
Question: chose answer 3. (-2a3b4)2 + Va24632 = A. -5a668 B. 5a12b16 C. 5a6b8 D. -3a68
chose answer

Step by Step Solution
There are 3 Steps involved in it
1 Expert Approved Answer
Step: 1 Unlock
Question Has Been Solved by an Expert!
Get step-by-step solutions from verified subject matter experts
Step: 2 Unlock
Step: 3 Unlock
