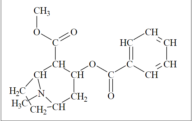
Question: Circle all of the different functional groups you can make out of this compound.
Circle all of the different functional groups you can make out of this compound.
Step by Step Solution
There are 3 Steps involved in it
1 Expert Approved Answer
Step: 1 Unlock
Question Has Been Solved by an Expert!
Get step-by-step solutions from verified subject matter experts
Step: 2 Unlock
Step: 3 Unlock
