Question: CircuitCentral Indirect Analytical Report Memo In a nutshell, you - a supervisor at CircuitCentral - have decided to create an action plan for the store's

CircuitCentral Indirect Analytical Report Memo

In a nutshell, you - a supervisor at CircuitCentral - have decided to create an action plan for the store's very busy Labor Day weekend. You do not want this busy holiday to be filled with problems, delays, and obstructions that customers encountered on the Memorial Day holiday. You have already done a survey with your customers to rate the company's service.

Convert the numbers to percentages on the chart. Then create a table where you can insert your percentages and put it in your Findings and Analysis section.

When you evaluate the results of this survey (see below) you are looking to see if 35% of your customers gave the company service an "Excellent" rating in every category in the survey. Anything less than 35% is a problem area and needs action steps to fix it.

Indirect Analytical Report Memo for your boss giving her your recommendations to make this Labor Day the fastest, smoothest holiday ever.

First, analyze the data on the RESEARCH PAGE and then complete the chart below.

There are 3 sections in the research: 1) the customer survey responses; 2) the staff survey; 3) your personal observations.

Below are questions to consider before writing report. Please use the information on the Research Page to briefly complete this chart.

Answers on this document, and use a different color font when you type in your answers. You will also complete your analytical report memo on this document (see directions at the end).

1.Evaluate the data on the Customer Survey Comment Cards.

-- Which of the 6 question categories received a 35% "Excellent" response? Numbers.....?? what?

-- Which did not?

-- Right now, off the top of your head, what action steps could be taken to address the areas that are below 35% "Excellent"? You may get more ideas later.

-- What, if any, action steps are needed (or not needed) regarding the categories that were in the 35% or above rating?

2.What about the staff survey? There are 20 employees that took the survey. In the areas where over half of the employees indicated there was a cause for delay, you have a problem. What are these areas, and what are some steps you could take to solve the problems?

3.You have the information you gathered from 3 different personal observations.

- --- What problems did you observe each time?

.---- What action steps could you take to solve these problems?

CircuitCentral Indirect Analytical Report Memo InCircuitCentral Indirect Analytical Report Memo In
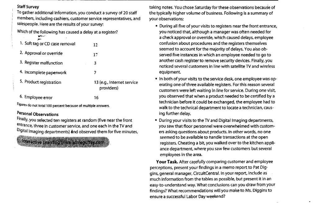
RESEARCH PAGE The plan includes assigning backup cashiers from other depart- CircuitCentral ments for each shift. Additionally, remote registers are located in several departments to reduce customer flow at the registers near- Background Information est the exit. CircuitCentral's goal is to achieve at least a 35 percent "excellent" response rating from customers. Even the best plans can go awry, however, and this usually happens during holidays such as Thanksgiving, Christmas, Memorial Day, and Labor Day. With the 12.26 Justification/Recommendation Report: Labor Day weekend only two months away, you want to avoid the Improving Register Efficiency at CircuitCentral (Obj. 5) occasional gridlock you encountered last Memorial Day. CircuitCentral is a high-volume market-leading retailer of consumer Customer Survey Data electronics and appliances. It has established a reputation for out- To gather Information from customers, you decide to tabulate standing customer service, selection, and prices. As a supervisor at responses to questions from comment cards submitted during the one of the store's busiest locations, you must ensure that the check- last month. You are particularly interested in the time customers out and customer service lanes operate efficiently. To make your job spent in the checkout lines. Here are the results of 320 customer easier and to ensure consistency in every store, CircuitCentral has comment cards: established an action plan to prevent long waiting times at registers. Responses/Score (5 = excellent, 4 = very good, 3 = good, 2 = fair, 1 = poor) Questions on Comment Cards 5 2 1. Based on your shopping experience, how 112 102 29 14 would you rate this CircuitCentral store? 2. Based on your shopping experience, how 166 96 43 would you rate the likelihood that you will return to this CircuitCentral store? 3. How would you rate the likelihood that you 118 76 23 15 would recommend this CircuitCentral store to a friend? 4. How would you rate your overall satisfaction 51 144 32 13 with register checkout times? 5. How would you rate your satisfaction with 19 38 128 96 39 the time spent in line at the customer ser- vice counter? 6, How would you rate the service staff's han- 26 54 129 15 dling of problems?Staff Survey taking notes. You chose Saturday for these observations because of To gather additional information, you conduct a survey of 20 staff the typically higher volume of business. Following is a summary of members, including cashiers, customer service representatives, and your observations: salespeople. Here are the results of your survey: . During all five of your visits to registers near the front entrance, Which of the following has caused a delay at a register? you noticed that, although a manager was often needed for a check approval or override, which caused delays, employee 1. Soft tag or CD case removal 12 confusion about procedures and the registers themselves seemed to account for the majority of delays. You also ob- 2. Approval or override 17 served five instances in which an employee needed to go to 3. Register malfunction 3 another cash register to remove security devices. Finally, you noticed several customers in line with satellite TV and wireless 4. Incomplete paperwork equipment. 5. Product registration . In both of your visits to the service desk, one employee was op- 13 (e.g., Internet service erating one of three available registers. For this reason several providers) customers were left waiting in line for service. During one visit, 6. Employee error 16 you observed that when a product needed to be certified by a Figures do not total 100 percent because of multiple answers. technician before it could be exchanged, the employee had to walk to the technical department to locate a technician, caus- Personal Observations ing further delay. Finally, you selected ten registers at random (five near the front . During your visits to the TV and Digital Imaging departments, entrance, three in customer service, and one each in the TV and you saw that floor personnel were overwhelmed with custom- Digital Imaging departments) and observed them for five minutes, ers asking questions about products. In other words, no one seemed to be available to handle transactions at the open Interactive [ registers. Cheating a bit, you walked over to the kitchen appli- ance department, where you saw few customers but several employees in the area. Your Task. After carefully comparing customer and employee perceptions, present your findings in a memo report to Pat Dig- gins, general manager, CircuitCentral. In your report, include as much information from the tables as possible, but present it in an easy-to-understand way. What conclusions can you draw from your findings? What recommendations will you make to Ms. Diggins to ensure a successful Labor Day weekend

Step by Step Solution

There are 3 Steps involved in it

1 Expert Approved Answer
Step: 1 Unlock blur-text-image
Question Has Been Solved by an Expert!

Get step-by-step solutions from verified subject matter experts

Step: 2 Unlock
Step: 3 Unlock

Students Have Also Explored These Related Finance Questions!