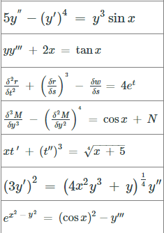
Question: Classify it according to order, degree, linearity, and type. Determine also its dependent and independent variables. Equation : Order : Degree : Linearity (Linear/Non-Linear) :
Classify it according to order, degree, linearity, and type. Determine also its dependent and independent variables.
Equation :
Order :
Degree :
Linearity (Linear/Non-Linear) :
Type ( ODE/PDE) :
Independent Variable :
Dependent Variable :

Step by Step Solution
There are 3 Steps involved in it
Get step-by-step solutions from verified subject matter experts
