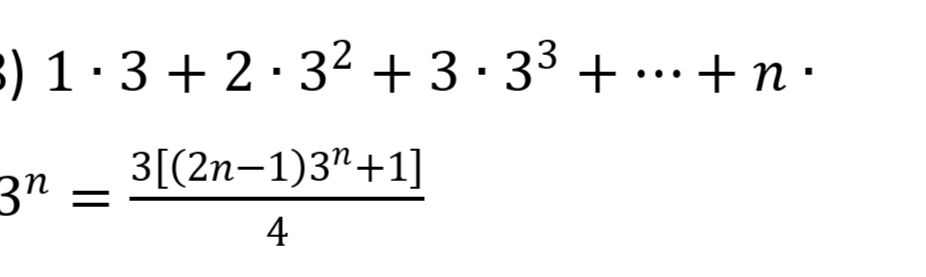
Question: code class = asciimath > 1 * 3 + 2 * 3 ^ ( 2 ) + 3 * 3 ^ ( 3 ) +
code class"asciimath"cdotsn nnn
Step by Step Solution
There are 3 Steps involved in it
1 Expert Approved Answer
Step: 1 Unlock
Question Has Been Solved by an Expert!
Get step-by-step solutions from verified subject matter experts
Step: 2 Unlock
Step: 3 Unlock
