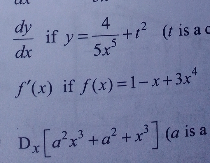
Question: code class = asciimath > ( dy ) / ( dx ) if is a f ' ( x ) if f ( x )
code class"asciimath"dydx if is a if is
Step by Step Solution
There are 3 Steps involved in it
1 Expert Approved Answer
Step: 1 Unlock
Question Has Been Solved by an Expert!
Get step-by-step solutions from verified subject matter experts
Step: 2 Unlock
Step: 3 Unlock
