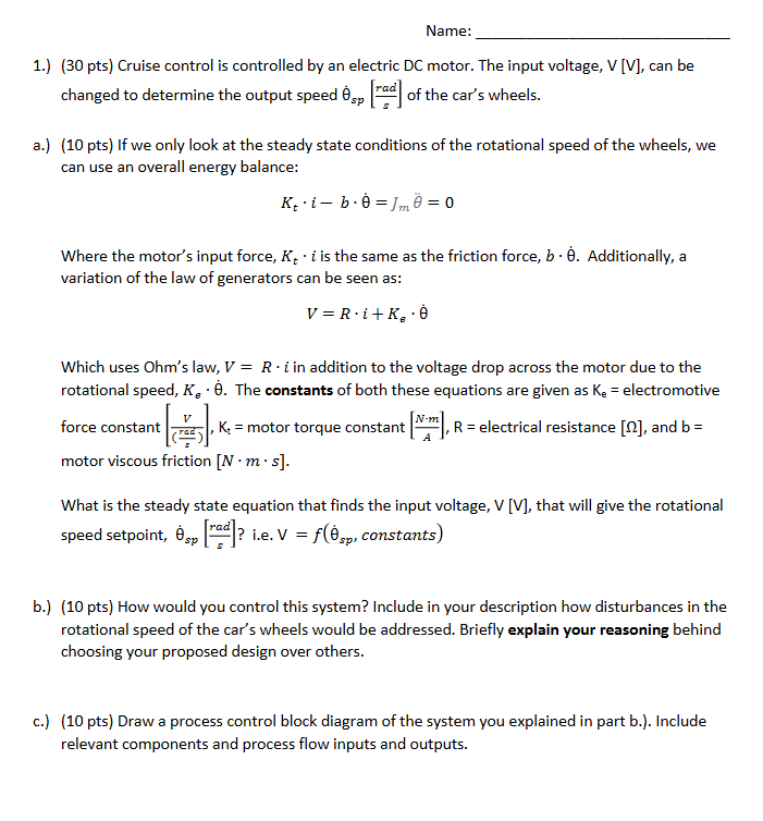
Question: code class = asciimath > Name: 1 . V [ V ] , can be changed to determine the output speed theta _ (
code class"asciimath"Name: VV can be changed to determine the output speed theta sprads of the car's wheels. aKtibtheta Jmtheta Where the motor's input force, Kti is the same as the friction force, btheta Additionally, a variation of the law of generators can be seen as: VRiKetheta Which uses Ohm's law, VRi in addition to the voltage drop across the motor due to the rotational speed, Kstheta The constants of both these equations are given as Ke electromotive force constant VradsKt motor torque constant NmAR electrical resistance Omega and b motor viscous friction Nms What is the steady state equation that finds the input voltage, VV that will give the rotational speed setpoint, theta sprads ie constants
Step by Step Solution
There are 3 Steps involved in it
1 Expert Approved Answer
Step: 1 Unlock
Question Has Been Solved by an Expert!
Get step-by-step solutions from verified subject matter experts
Step: 2 Unlock
Step: 3 Unlock
