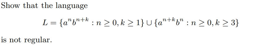
Question: code class = asciimath > Show that the language L = { a ^ ( n ) b ^ ( n + k ) :n
code class"asciimath"Show that the language Lanbnk:nkcup ankbn:nk is not regular.
Step by Step Solution
There are 3 Steps involved in it
1 Expert Approved Answer
Step: 1 Unlock
Question Has Been Solved by an Expert!
Get step-by-step solutions from verified subject matter experts
Step: 2 Unlock
Step: 3 Unlock
