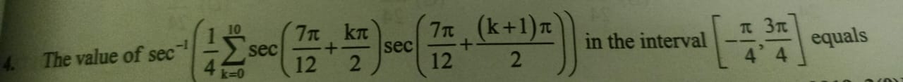
Question: code class = asciimath > The value of sec ^ ( - 1 ) ( ( 1 ) / ( 4 ) sum _
code class"asciimath"The value of secsumk secpi kpi secpi kpi in the interval pi pi equals
Step by Step Solution
There are 3 Steps involved in it
1 Expert Approved Answer
Step: 1 Unlock
Question Has Been Solved by an Expert!
Get step-by-step solutions from verified subject matter experts
Step: 2 Unlock
Step: 3 Unlock
