Question: code in matlab Use MATLAB to obtain the first and second derivatives of the following functions (make sure to obtain polynomial expressions): a. F(x)= x
code in matlab
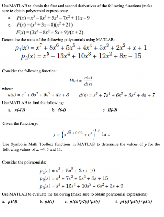
Use MATLAB to obtain the first and second derivatives of the following functions (make sure to obtain polynomial expressions): a. F(x)= x - 874 +5r3 - 7x2 + 11x-9 b. F(x) = (x3 + 3x - 8)(x2 +21) F(x)=(3x3 - 8x2 + 5x+9)/(x+2) Determine the roots of the following polynomials using MATLAB P1(x) = x? + 8x6 + 5x5 + 4x4 + 3x3 + 2x2 + x + 1 P3(x) = x5 13x4 + 10x3 + 12x2 + 8x 15 Consider the following function: HS) = n(s) d(s) d(s) = 55+ 784 +683 +592 + 4s + 7 where: n(s) = 84 +683 +592 +48 +3 Use MATLAB to find the following: a. n(-12) b. d(-4) c. H(-2) Given the function y: 1.8 y = (*V2 +0.02 + e*). In x Use Symbolic Math Toolbox functions in MATLAB to determine the values of y for the following values of x: -4,5 and 11. Consider the polynomials: Pa(s) = $3 + 5s+ 3s + 10 pa(s) = 84 + 783 +592 + 88 + 15 pg(s) = 95 + 154 + 1083 +682 +38 + 9 Use MATLAB to evaluate the following (make sure to obtain polynomial expressions): 4. p1(3) b. p3(1) c.pl(s)*p2(5)*p3(8) d. p1(s)*p2(s)/p3(8) Use MATLAB to obtain the first and second derivatives of the following functions (make sure to obtain polynomial expressions): a. F(x)= x - 874 +5r3 - 7x2 + 11x-9 b. F(x) = (x3 + 3x - 8)(x2 +21) F(x)=(3x3 - 8x2 + 5x+9)/(x+2) Determine the roots of the following polynomials using MATLAB P1(x) = x? + 8x6 + 5x5 + 4x4 + 3x3 + 2x2 + x + 1 P3(x) = x5 13x4 + 10x3 + 12x2 + 8x 15 Consider the following function: HS) = n(s) d(s) d(s) = 55+ 784 +683 +592 + 4s + 7 where: n(s) = 84 +683 +592 +48 +3 Use MATLAB to find the following: a. n(-12) b. d(-4) c. H(-2) Given the function y: 1.8 y = (*V2 +0.02 + e*). In x Use Symbolic Math Toolbox functions in MATLAB to determine the values of y for the following values of x: -4,5 and 11. Consider the polynomials: Pa(s) = $3 + 5s+ 3s + 10 pa(s) = 84 + 783 +592 + 88 + 15 pg(s) = 95 + 154 + 1083 +682 +38 + 9 Use MATLAB to evaluate the following (make sure to obtain polynomial expressions): 4. p1(3) b. p3(1) c.pl(s)*p2(5)*p3(8) d. p1(s)*p2(s)/p3(8)
Step by Step Solution
There are 3 Steps involved in it
Get step-by-step solutions from verified subject matter experts
