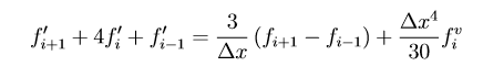
Question: Code the Pade approximations for the rst derivative in Matlab. Let f(x) = sin(x) Where 0 x 2. What is the maximum percent error? fitn
Code the Pade approximations for the rst derivative in Matlab.
Let f(x) = sin(x)
Where 0 x 2.
What is the maximum percent error?

fitn + 45+S4 = Sita Si-1) + "ro on fitn + 45+S4 = Sita Si-1) + "ro on
Step by Step Solution
There are 3 Steps involved in it
Get step-by-step solutions from verified subject matter experts
