Question: Compensating Wage Differentials: Consider a competitive labor market that has four different jobs that vary by their wage and risk level. The table below describes
- Compensating Wage Differentials:Consider a competitive labor market that has four different jobs that vary by their wage and risk level. The table below describes each of the four jobs.
Job | Risk (r) | Wage (w) |
A | 1 5 | $3 |
B | 1 4 | $12 |
C | 1 3 | $23 |
D | 1 | $25 |
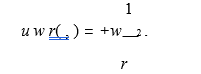
All workers are equally productive, but workers vary in their preferences. Consider a worker who values his wage and the risk level according to the utility function:


\f= +W
Step by Step Solution
There are 3 Steps involved in it
1 Expert Approved Answer
Step: 1 Unlock
Question Has Been Solved by an Expert!
Get step-by-step solutions from verified subject matter experts
Step: 2 Unlock
Step: 3 Unlock
