Question: COMPLETE SOLUTION STEP BY STEP SO I WILL RATE YOU HELPFUL asap 4. If the function values decrease or increase without bounds as the independent
COMPLETE SOLUTION STEP BY STEP SO I WILL RATE YOU HELPFUL asap



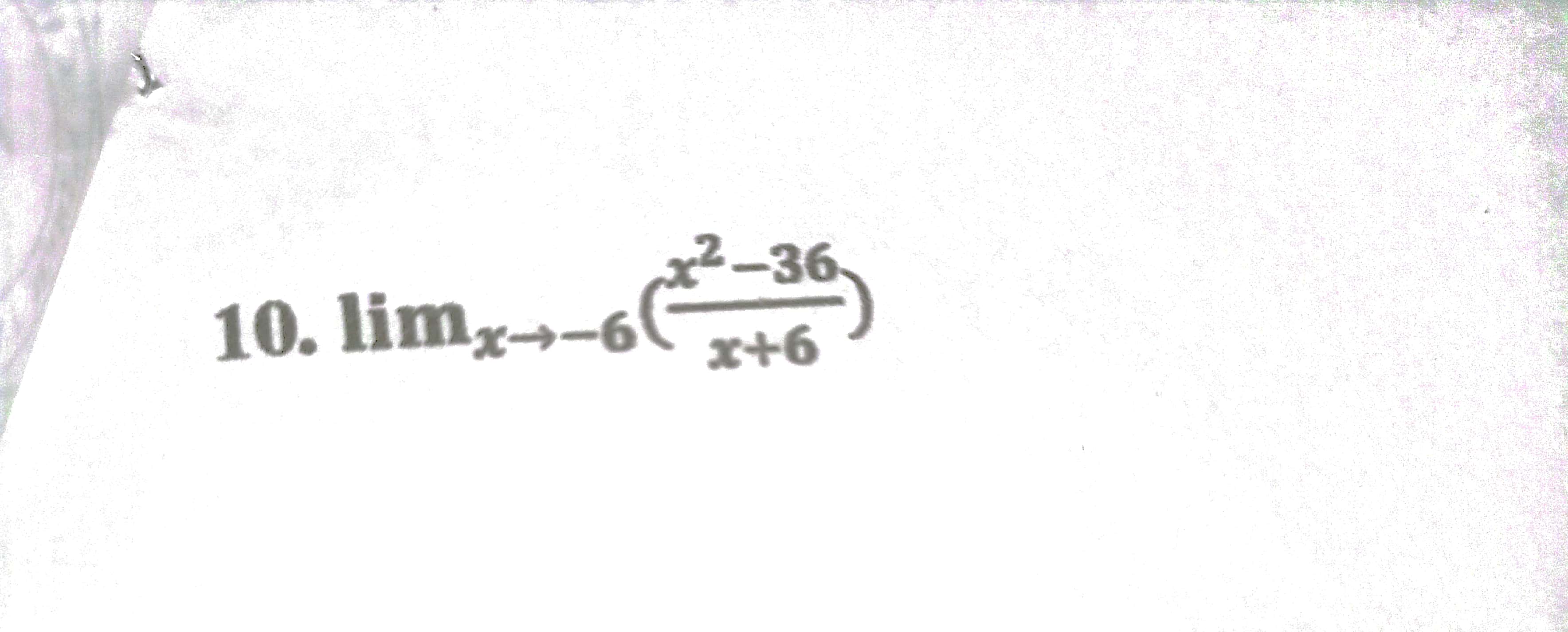
4. If the function values decrease or increase without bounds as the independent variable gets closer and closer to a certain fixed number, then the function has an limits a. One-sided /01 b. Finite c. Infinite d. Continuous 5. It is a function in which the exponent of the expression is a variable. a. Exponential Function to c. Natural Exponential Function b. Logarithmic Function d. Trigonometric Function Evaluate the following limits applying the appropriate limit laws. Show your solution. (5 points each) 1. limx-3(2x2 - 5x + 3) 6. limx-3(2x4 - 6x3 + 3x2 + 4x-12) 2. limx-2(2x2 - 7x - 9) 7. limx-4(16, 3. limx-4(4x3 - 3x - 5) 2-25 8. limx-5x-5 4. limx-+1(3x3 - 4x2 + 3x - 7) 9. lim-1- 5. limx--2(5x3 + 6x2 + 5x - 4) age\fIII. Determine/Prove whether the function f(x) = ~ ~ is continuous at: (10 points each) 1.x = 0 2. x = 2 3. x = 3 IV. Given the graph of the function f(x) = cosx, evaluate the following limits: (5 points each) - 4 4 . . . . . . . . . . . .- 1. limx->o Cosx 2. limx-7: COSX
Step by Step Solution
There are 3 Steps involved in it
Get step-by-step solutions from verified subject matter experts
