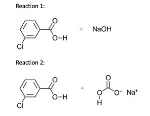
Question: Complete the following acid-base reaction equations by: Label each reactant with its correct pK a or pK b value. Predicting the position of equilibrium using
Complete the following acid-base reaction equations by:
Label each reactant with its correct pKa or pKb value.
Predicting the position of equilibrium using correct reaction arrows.
Drawing the correct reaction products.
Labeling the structures as acid, base, conjugate acid and conjugate base.

Reaction 1: Reaction 2
Step by Step Solution
There are 3 Steps involved in it
Get step-by-step solutions from verified subject matter experts
