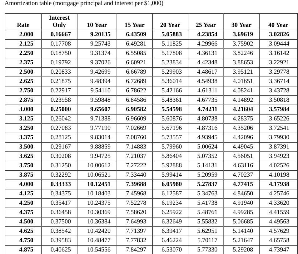
Question: Complete the following amortization chart by using Note: Round your Payment per $1,000 answer to 5 decimal places and other answers to the nearest



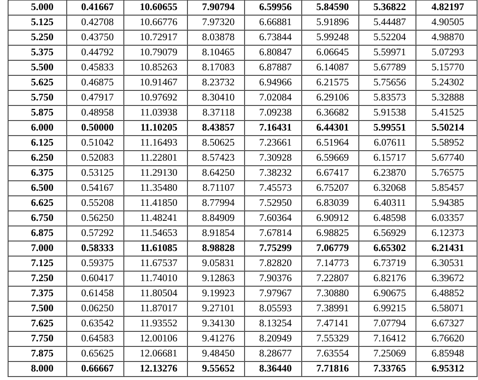
Complete the following amortization chart by using Note: Round your "Payment per $1,000 " answer to 5 decimal places and other answers to the nearest cent Amortization table (mortgage principal and interest per $1,000 ) \begin{tabular}{|l|l|l|l|l|l|l|l|} \hline 5.000 & 0.41667 & 10.60655 & 7.90794 & 6.59956 & 5.84590 & 5.36822 & 4.82197 \\ \hline 5.125 & 0.42708 & 10.66776 & 7.97320 & 6.66881 & 5.91896 & 5.44487 & 4.90505 \\ \hline 5.250 & 0.43750 & 10.72917 & 8.03878 & 6.73844 & 5.99248 & 5.52204 & 4.98870 \\ \hline 5.375 & 0.44792 & 10.79079 & 8.10465 & 6.80847 & 6.06645 & 5.59971 & 5.07293 \\ \hline 5.500 & 0.45833 & 10.85263 & 8.17083 & 6.87887 & 6.14087 & 5.67789 & 5.15770 \\ \hline 5.625 & 0.46875 & 10.91467 & 8.23732 & 6.94966 & 6.21575 & 5.75656 & 5.24302 \\ \hline 5.750 & 0.47917 & 10.97692 & 8.30410 & 7.02084 & 6.29106 & 5.83573 & 5.32888 \\ \hline 5.875 & 0.48958 & 11.03938 & 8.37118 & 7.09238 & 6.36682 & 5.91538 & 5.41525 \\ \hline 6.000 & 0.50000 & 11.10205 & 8.43857 & 7.16431 & 6.44301 & 5.99551 & 5.50214 \\ \hline 6.125 & 0.51042 & 11.16493 & 8.50625 & 7.23661 & 6.51964 & 6.07611 & 5.58952 \\ \hline 6.250 & 0.52083 & 11.22801 & 8.57423 & 7.30928 & 6.59669 & 6.15717 & 5.67740 \\ \hline 6.375 & 0.53125 & 11.29130 & 8.64250 & 7.38232 & 6.67417 & 6.23870 & 5.76575 \\ \hline 6.500 & 0.54167 & 11.35480 & 8.71107 & 7.45573 & 6.75207 & 6.32068 & 5.85457 \\ \hline 6.625 & 0.55208 & 11.41850 & 8.77994 & 7.52950 & 6.83039 & 6.40311 & 5.94385 \\ \hline 6.750 & 0.56250 & 11.48241 & 8.84909 & 7.60364 & 6.90912 & 6.48598 & 6.03357 \\ \hline 6.875 & 0.57292 & 11.54653 & 8.91854 & 7.67814 & 6.98825 & 6.56929 & 6.12373 \\ \hline 7.000 & 0.58333 & 11.61085 & 8.98828 & 7.75299 & 7.06779 & 6.65302 & 6.21431 \\ \hline 7.125 & 0.59375 & 11.67537 & 9.05831 & 7.82820 & 7.14773 & 6.73719 & 6.30531 \\ \hline 7.250 & 0.60417 & 11.74010 & 9.12863 & 7.90376 & 7.22807 & 6.82176 & 6.39672 \\ \hline 7.375 & 0.61458 & 11.80504 & 9.19923 & 7.97967 & 7.30880 & 6.90675 & 6.48852 \\ \hline 7.500 & 0.06250 & 11.87017 & 9.27101 & 8.05593 & 7.38991 & 6.99215 & 6.58071 \\ \hline 7.625 & 0.63542 & 11.93552 & 9.34130 & 8.13254 & 7.47141 & 7.07794 & 6.67327 \\ \hline 7.750 & 0.64583 & 12.00106 & 9.41276 & 8.20949 & 7.55329 & 7.16412 & 6.76620 \\ \hline 7.875 & 0.65625 & 12.06681 & 9.48450 & 8.28677 & 7.63554 & 7.25069 & 6.85948 \\ \hline 8.000 & 0.66667 & 12.13276 & 9.55652 & 8.36440 & 7.71816 & 7.33765 & 6.95312 \\ \hline \end{tabular}
Step by Step Solution
There are 3 Steps involved in it
Get step-by-step solutions from verified subject matter experts
