Question: Complete the worksheet based on the information provided on the second picture. PART 1: Avery Morgan, a snowboarding enthusiast, opened Avery's Snowboarding Company in Stowe,


Complete the worksheet based on the information provided on the second picture.
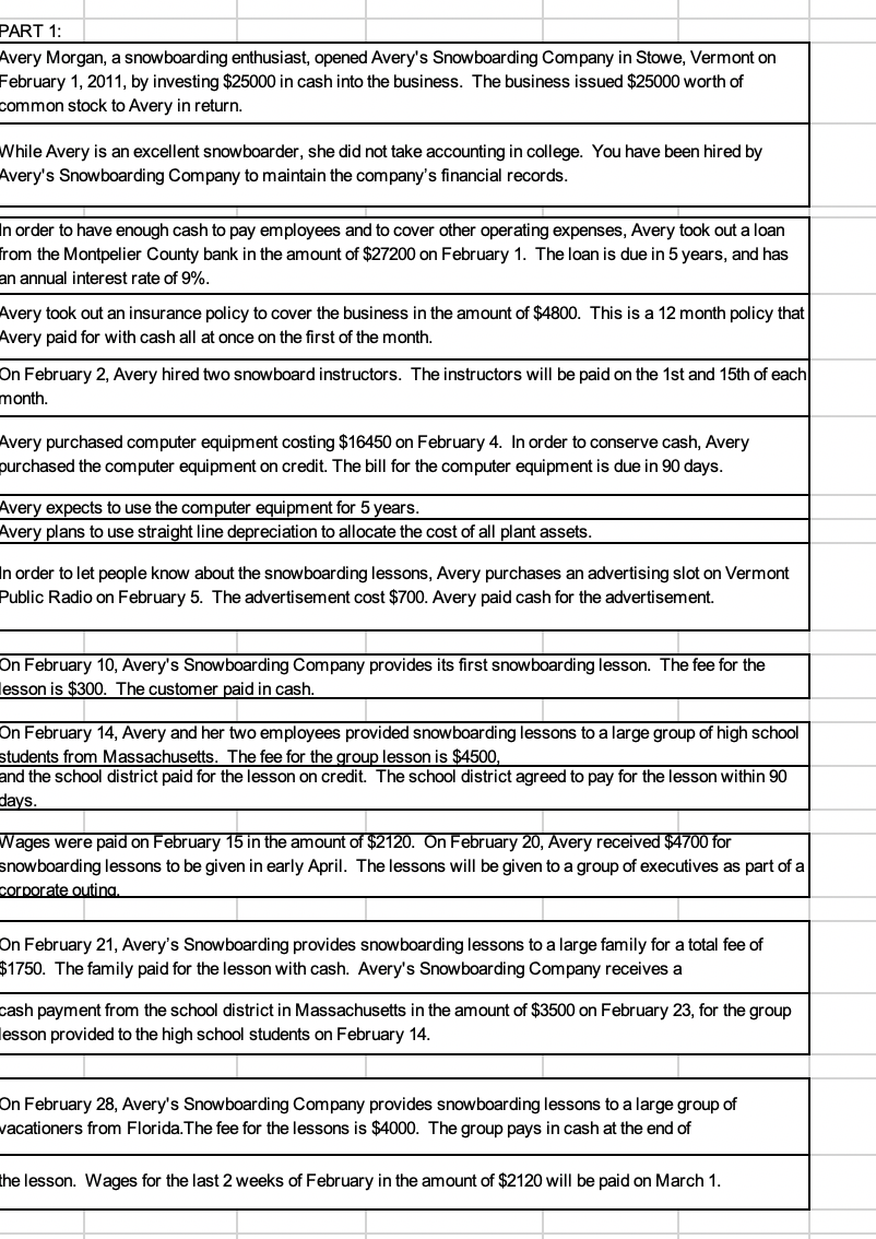
PART 1: Avery Morgan, a snowboarding enthusiast, opened Avery's Snowboarding Company in Stowe, Vermont on February 1, 2011, by investing $25000 in cash into the business. The business issued $25000 worth of common stock to Avery in return. While Avery is an excellent snowboarder, she did not take accounting in college. You have been hired by Avery's Snowboarding Company to maintain the company's financial records. In order to have enough cash to pay employees and to cover other operating expenses, Avery took out a loan from the Montpelier County bank in the amount of $27200 on February 1. The loan is due in 5 years, and has an annual interest rate of 9%. Avery took out an insurance policy to cover the business in the amount of $4800. This is a 12 month policy that Avery paid for with cash all at once on the first of the month. On February 2, Avery hired two snowboard instructors. The instructors will be paid on the 1st and 15th of each month. Avery purchased computer equipment costing $16450 on February 4. In order to conserve cash, Avery purchased the computer equipment on credit. The bill for the computer equipment is due in 90 days. Avery expects to use the computer equipment for 5 years. Avery plans to use straight line depreciation to allocate the cost of all plant assets. In order to let people know about the snowboarding lessons, Avery purchases an advertising slot on Vermont Public Radio on February 5. The advertisement cost $700. Avery paid cash for the advertisement. On February 10, Avery's Snowboarding Company provides its first snowboarding lesson. The fee for the esson is $300. The customer paid in cash. On February 14, Avery and her two employees provided snowboarding lessons to a large group of high school students from Massachusetts. The fee for the group lesson is $4500, and the school district paid for the lesson on credit. The school district agreed to pay for the lesson within 90 days. Wages were paid on February 15 in the amount of \$2120. On February 20, Avery received $4700 for snowboarding lessons to be given in early April. The lessons will be given to a group of executives as part of a corporate outing. On February 21, Avery's Snowboarding provides snowboarding lessons to a large family for a total fee of \$1750. The family paid for the lesson with cash. Avery's Snowboarding Company receives a cash payment from the school district in Massachusetts in the amount of $3500 on February 23 , for the group lesson provided to the high school students on February 14. On February 28, Avery's Snowboarding Company provides snowboarding lessons to a large group of vacationers from Florida.The fee for the lessons is $4000. The group pays in cash at the end of the lesson. Wages for the last 2 weeks of February in the amount of $2120 will be paid on March 1
Step by Step Solution
There are 3 Steps involved in it
Get step-by-step solutions from verified subject matter experts
