Question: Compute the average of all continuous variables using the =AVERAGE() function. You can use the =average() by supplying the range of the data. Make another
Compute the average of all continuous variables using the =AVERAGE() function. You can use the =average() by supplying the range of the data.
Make another table for the results of the average of Math, Language, Science, Reading, and Social Science
Please give your interpretation to the results and please use the given format below.
Introduction
Survey
Results and Discussions
Table and Graph
Interpretation
Conclusion
A survey was conducted to get the preference of the graders in public school toward the following subjects: Mathematics, Language Arts, Science, Reading, and Social Studies.
Gender
Grade
Teacher
Math
Language
Science
Reading
SocialScience
Gender
Grade
Teacher
Math
Language
Science
Reading
SocialScience



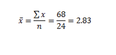
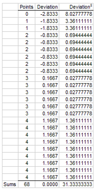
SocialScience Science Reading Teacher Language Grade Math 5 4 Gender 4 2 UT UT 1 4 5 7 O V W N 5 8 3 7 IN 1 5 1 7 3 4 2 6 3 2 6 2 UI H 3 H W w NNNNHH 4 4 3 IN D V Va VW 5 3 IN 3 2 3 6 5 w INHNNNN NHL JONUHNA 2 4 IN IN 2 0 6 3 2 NHOAP w 5 UI A NN NNHUHEx 68 X = = 2.83 n 24Points Deviation Deviation 0 -2.8333 8.02777778 -1.8333 3.36111111 -1.8333 3.36111111 -0.8333 0.69444444 -0.8333 0.69444444 -0.8333 0.69444444 -0.8333 0.69444444 -0.8333 0.69444444 -0.8333 0.69444444 A W W W W W W N N N N N NS 0.1667 0.02777778 0.1667 0.02777778 0.1667 0.02777778 0.1667 0.02777778 0.1667 0.02777778 0.1667 0.02777778 1.1667 1.36111111 4 1.1667 1.36111111 4 1.1667 1.36111111 4 1.1667 1.36111111 4 1.1667 1.36111111 4 1.1667 1.36111111 A 1.1667 1.36111111 4 1.1667 1.36111111 4 1.1667 1.36111111 Sums 68 0.0000 31.33333333
Step by Step Solution
There are 3 Steps involved in it
Get step-by-step solutions from verified subject matter experts
