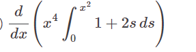
Question: Compute the following derivatives without using IBP: In(t) dt n In da2 T 4 1 + 2sds dx In (t) dt


Compute the following derivatives without using IBP:


In(t) dt n In da2 T 4 1 + 2sds dx
In (t) dt
Step by Step Solution
There are 3 Steps involved in it
1 Expert Approved Answer
Step: 1 Unlock
Question Has Been Solved by an Expert!
Get step-by-step solutions from verified subject matter experts
Step: 2 Unlock
Step: 3 Unlock
