Databases Questions and Answers June 10, 2020

Expert-verified solutions to help you succeed

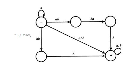
Showing 800 - 900 of 1502
  • 9 / 16