Question: CONIC SECTION Problem Set in PRECAL Conic Section Problem Solving Directions: Illustrate the following problems through graph and solve for what is asked. Write your
CONIC SECTION


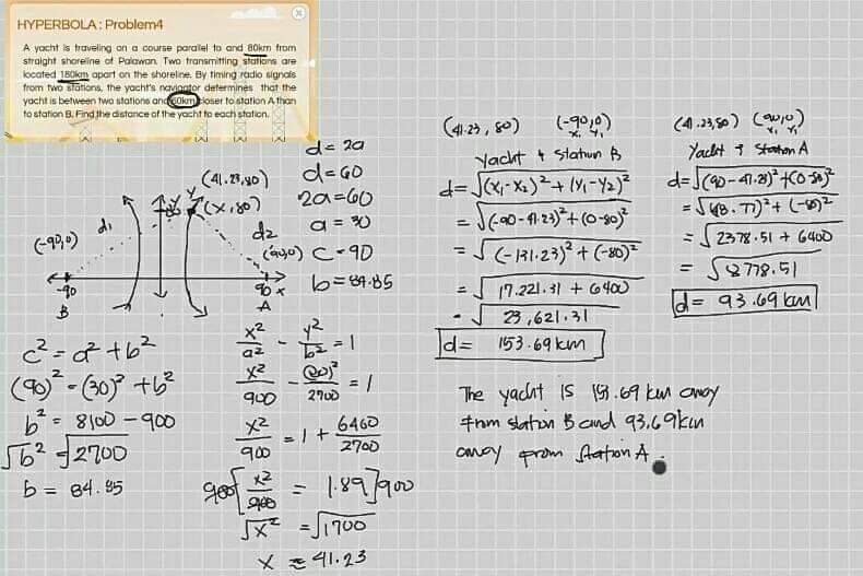
Problem Set in PRECAL Conic Section Problem Solving Directions: Illustrate the following problems through graph and solve for what is asked. Write your complete solution in bond paper. Box/highlight final answer/s. Problem3 Two transmitting stations are located 60km apart on the shoreline where a yacht is traveling on a course. By timing radio signals from two stations, the yacht's navigator determines that the yacht is between two stations and 50km closer to station A than to station B. Find the distance of the yacht to each station if it is directly north of station A.HYPERBOLA: Problem4 A yacht is traveling on a course parallel to and 80km from straight shoreline of Polowon Two transmitting shallom are located 180km apart on the shoreline. By timing radio signals from two stations, the yacht's navontor defermines that the yacht is between two lilations and ooki Hoser to station A than to station B. Find the distance of the yacht to each station. (41:23, 80) (-90/0 ) (4 .23,50 ) (wju ) d = 2a d = Go yacht + station B yacht i Starton A (41. 23,yD ) 7 (x 180 ) 201=60 4= (x - X ) 2 + (y1-Yz) ( - 90 , 0 ) dz a = 30 = J (-90-41 23) + (0-90) ( 940 ) C - 90 = J (- 131. 23) + (-80)2 = _ 2378 . 51 + 6400 40 1= 89.85 = ( 8718.51 17.221. 31 + 6400 B A 23, 621. 31 d = 93.69 KIM 22 = 0 +62 az d= 153.69 kim (90) - ( 30) + 62 2705 The yacht 15 19. 69 ku away b = 8100 - 900 42 6460 hm slaton $ and 93.6 9 kin 162 - 2700 900 2700 carey From Aation A b = 84. 85 901 x2 = 189 900 =1700 X = 41.23
Step by Step Solution
There are 3 Steps involved in it
Get step-by-step solutions from verified subject matter experts
