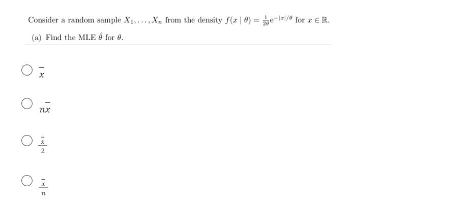
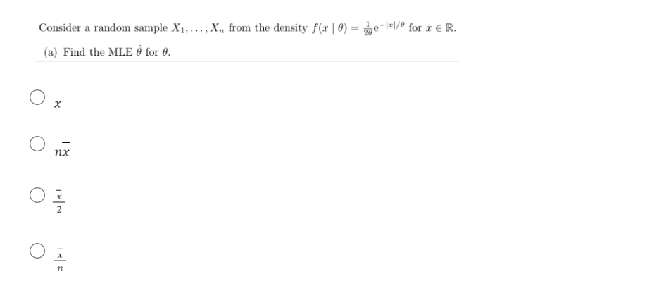
Question: Consider a random sample X1, ..., Xn from the density f(x | 0) The =1/ for r E R. (a) Find the MLE o for


Consider a random sample X1, ..., Xn from the density f(x | 0) The =1/ for r E R. (a) Find the MLE o for 0. O X O nx O N RI O
Step by Step Solution
There are 3 Steps involved in it
Get step-by-step solutions from verified subject matter experts
