Question: Consider functions f (x) = 1 and g(x) = 2vx - x. Compute derivative for x+1 each of the following functions. a) f+g b) f.


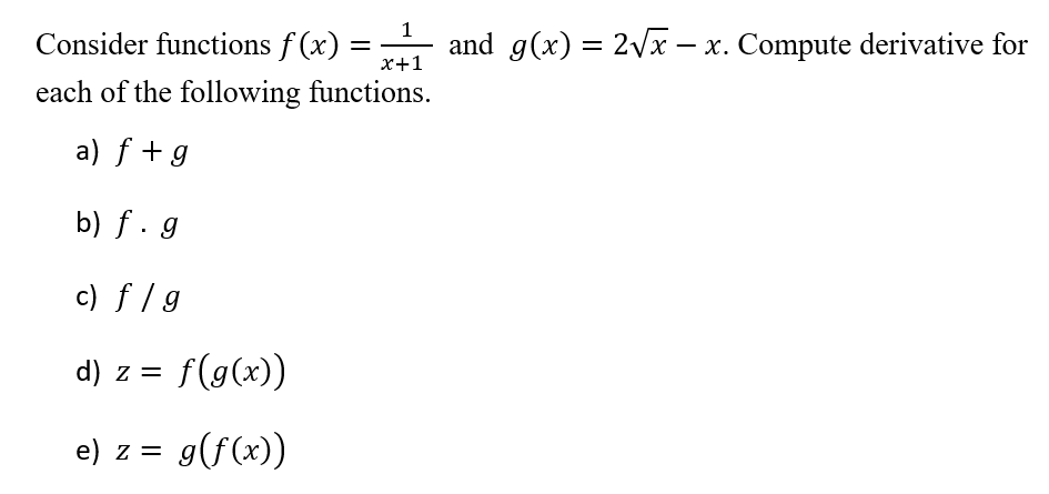
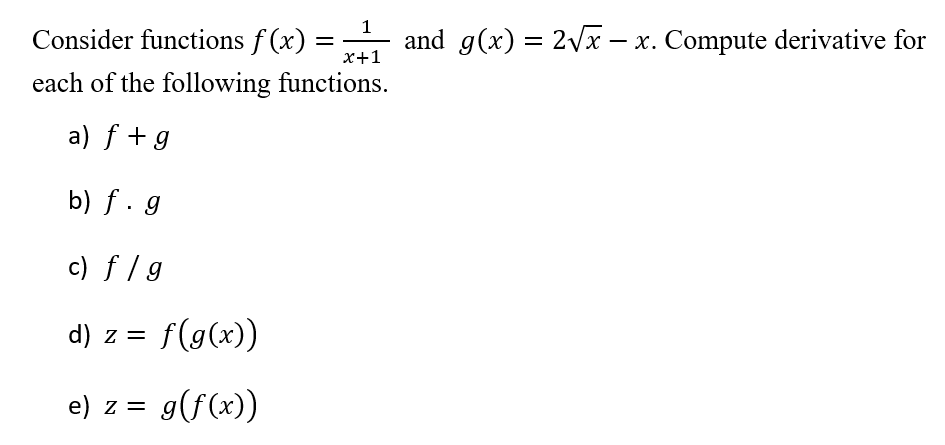
Consider functions f (x) = 1 and g(x) = 2vx - x. Compute derivative for x+1 each of the following functions. a) f+g b) f. g c) f/g d) z = f(g(x)) e) z = g(f(x))
Step by Step Solution
There are 3 Steps involved in it
Get step-by-step solutions from verified subject matter experts
