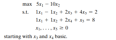
Question: Consider the above LP. Apply the revised simplex method to solve the LP. max 5x1 - 10x2 s.t. 1x1 - 1x2 + 2xz + 4x3
Consider the above LP. Apply the revised simplex method to solve the LP. 
Step by Step Solution
There are 3 Steps involved in it
1 Expert Approved Answer
Step: 1 Unlock
Question Has Been Solved by an Expert!
Get step-by-step solutions from verified subject matter experts
Step: 2 Unlock
Step: 3 Unlock
