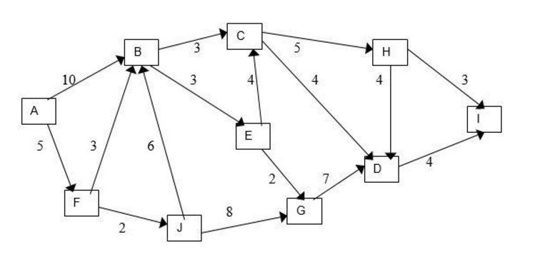
Question: Consider the directed acyclic weighted graph. Draw the spanning forest produced by the DFS algorithm for this digraph. Indicate what topological ordering of the nodes
Consider the directed acyclic weighted graph. 
Draw the spanning forest produced by the DFS algorithm for this digraph. Indicate what topological ordering of the nodes is produced by the DFS algorithm (i.e., you should list the 10 nodes in topological order, from left to right, on one line). You should assume for this problem that the driver program begins the traversal at vertex A, and that the out-going edges of each vertex are examined in reverse-alphabetic order.
3 H G 2 C E 8 3 2 F A-5
Step by Step Solution
There are 3 Steps involved in it
Get step-by-step solutions from verified subject matter experts
