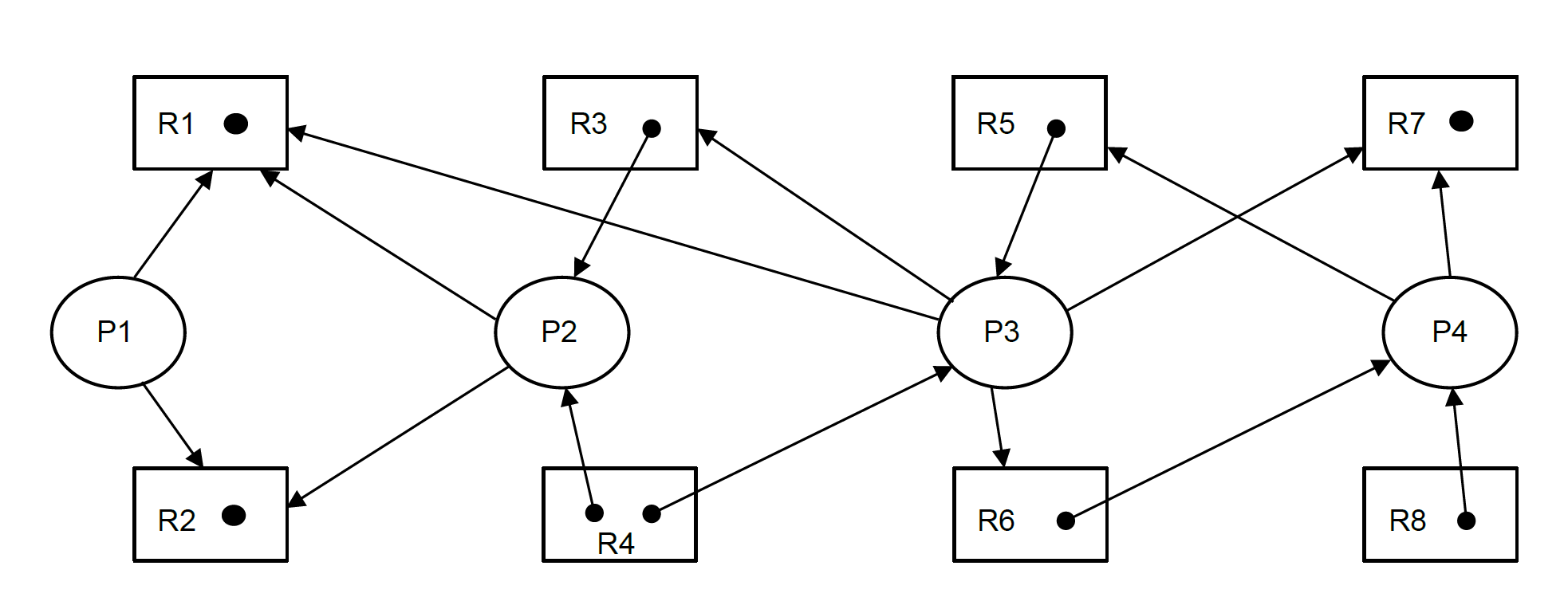
Question: Consider the directed resource graph shown below and answer the following questions: Is this system deadlocked? Which, if any, processes are blocked? What is the
Consider the directed resource graph shown below and answer the following questions:
- Is this system deadlocked?
- Which, if any, processes are blocked?
- What is the resulting graph after reduction?

R1 0 R3 R5 R7 P1 P2 P3 P4 R2 R6 R8 6 R4
Step by Step Solution
There are 3 Steps involved in it
Get step-by-step solutions from verified subject matter experts
