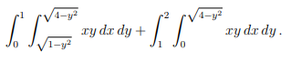
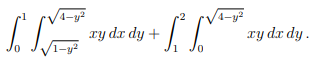
Question: Consider the double integral xy dx dy + xy dm dy.

Consider the double integral

xy dx dy + xy dm dy.
Step by Step Solution
There are 3 Steps involved in it
Get step-by-step solutions from verified subject matter experts
