Question: Consider the following. 35 9(5) = 2 s + 4 (a) State the domain of the function. 0 all real numbers 5 excepts = -2


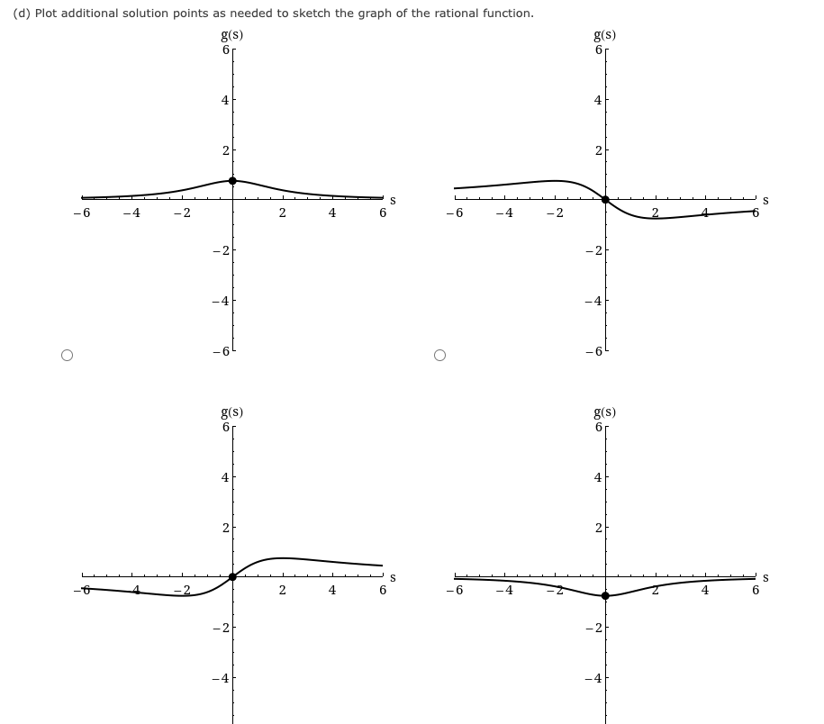
Consider the following. 35 9(5) = 2 s + 4 (a) State the domain of the function. 0 all real numbers 5 excepts = -2 0 all real numbers 5 excepts = 2 0 all real numbers 5 excepts = -3 0 all real numbers 5 excepts = 3 0 all real numbers 5 (b) Identify all intercepts. (If an answer does not exist, enter DNE.) x-intercept (x, Y) = ( :l ) yintercept (x, Y) = ( :l ) (c) Find anyr vertical and horizontal asymptotes. (Enter your answers as a comma-separated list of equations. If there are no asymptotes, enter DNE.) : (d) Plot additional solution points as needed to sketch the graph of the rational function. 3(5) 6
Step by Step Solution
There are 3 Steps involved in it
Get step-by-step solutions from verified subject matter experts
