Question: Consider the following binomial tree. The numbers in squares are stock prices. The numbers in circles will be option prices (# numbers are the exercise
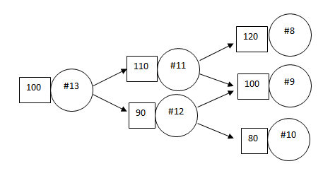
Consider the following binomial tree. The numbers in squares are stock prices. The numbers in circles will be option prices (# numbers are the exercise numbers to answer your calculation).
Today, the stock is at 100 and can go up and down over the next week, and then again up and down from there. We are pricing a call struck at 90.

Use the computed q to sweep back through the tree to fill the call values in circles. For each node use the formula: C = q Cu + (1-q) Cd. Ignore interest.
Exercise #14. Today, the delta (hedge ratio) is 
120 |( #8 110 #11 100 #13 100 #9 90 #12 80 #10
Step by Step Solution
There are 3 Steps involved in it
1 Expert Approved Answer
Step: 1 Unlock
Question Has Been Solved by an Expert!
Get step-by-step solutions from verified subject matter experts
Step: 2 Unlock
Step: 3 Unlock
