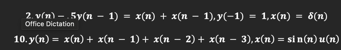
Question: Consider the following difference equations. Find the transfer functions and the outputs y ( n ) . Are the systems stable? 1 0 . y
Consider the following difference equations. Find the transfer functions and the outputs yn Are the systems stable?
ynxnxnxnxnxnsinnun
Step by Step Solution
There are 3 Steps involved in it
1 Expert Approved Answer
Step: 1 Unlock
Question Has Been Solved by an Expert!
Get step-by-step solutions from verified subject matter experts
Step: 2 Unlock
Step: 3 Unlock
