Question: Consider the following function f : X R where is a given parameter and Suppose you are given the following start points 1/ Let =
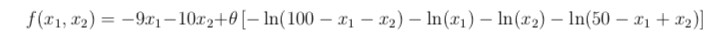
Consider the following function f : X R

where is a given parameter and

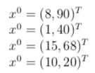
Suppose you are given the following start points

1/ Let = 10. What behavior do you observe when you run Newtons method without a line-search to minimize f with these starting points, i.e., by taking = 1?
2/ Let = 10. What behavior do you observe when you run Newtons method with a line-search to minimize f with these starting points, i.e., finding an optimal at each iteration?
3/ Let = 100. What behavior do you observe when you run Newtons method without a line-search to minimize f with these starting points?
4/ Let = 100. What behavior do you observe when you run Newtons method with a line-search to minimize f with these starting points?
f(21, 22) = -941-1022+0 [- In(100 (1 22) - In(21) - ln(22) - In(50 21 +22)] X = {(21, C2) 21 > 0, x2 > 0, x1 + 12 0, x2 > 0, x1 + 12Step by Step Solution
There are 3 Steps involved in it
Get step-by-step solutions from verified subject matter experts
