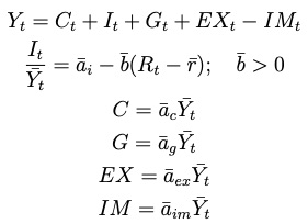
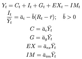
Question: Consider the following GDP equation, consumption function, exports function. imports function and investment function and use them to answer the following questions:

Consider the following GDP equation, consumption function, exports function. imports function and investment function and use them to answer the following questions:

Step by Step Solution
There are 3 Steps involved in it
Get step-by-step solutions from verified subject matter experts
