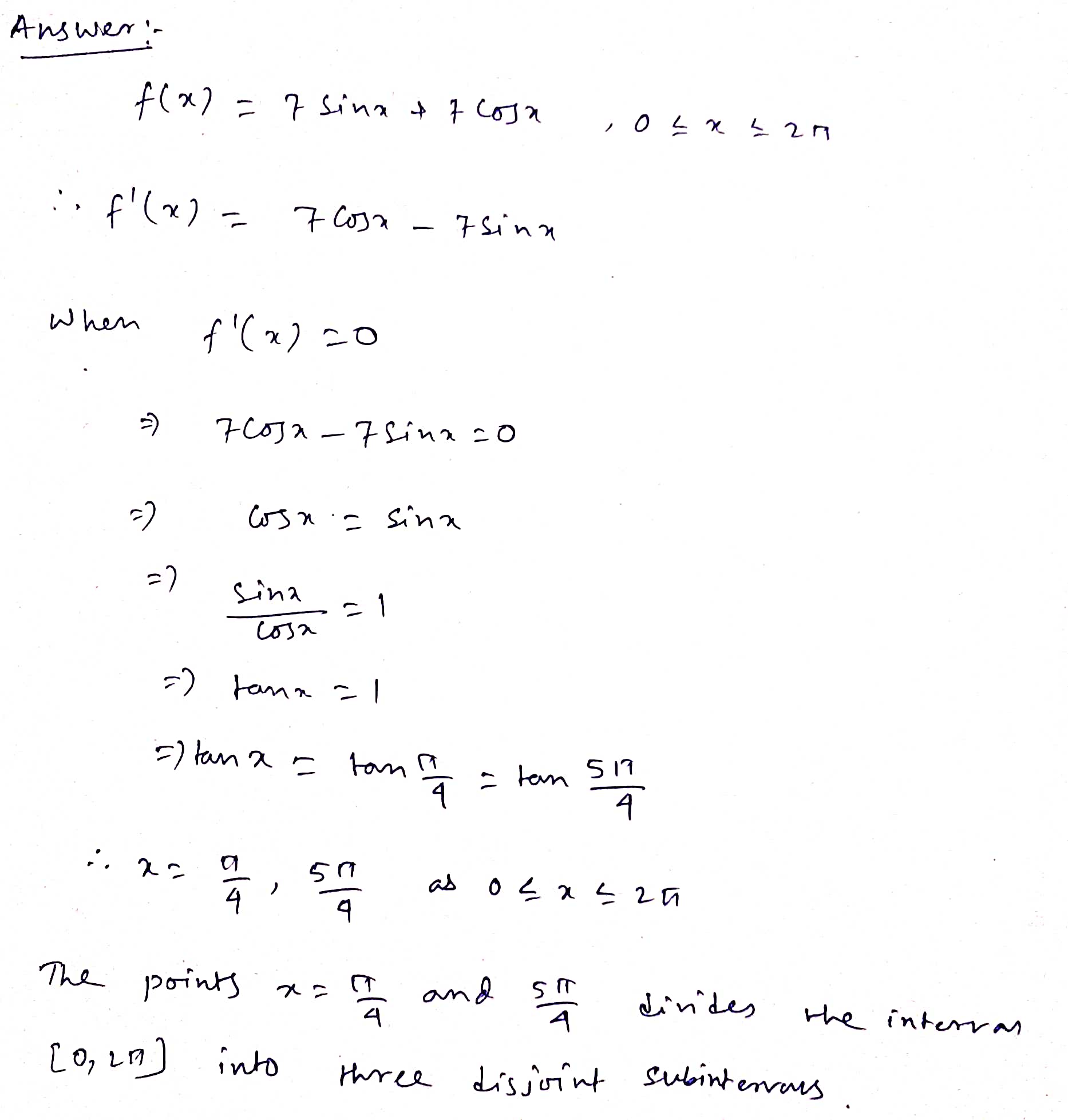
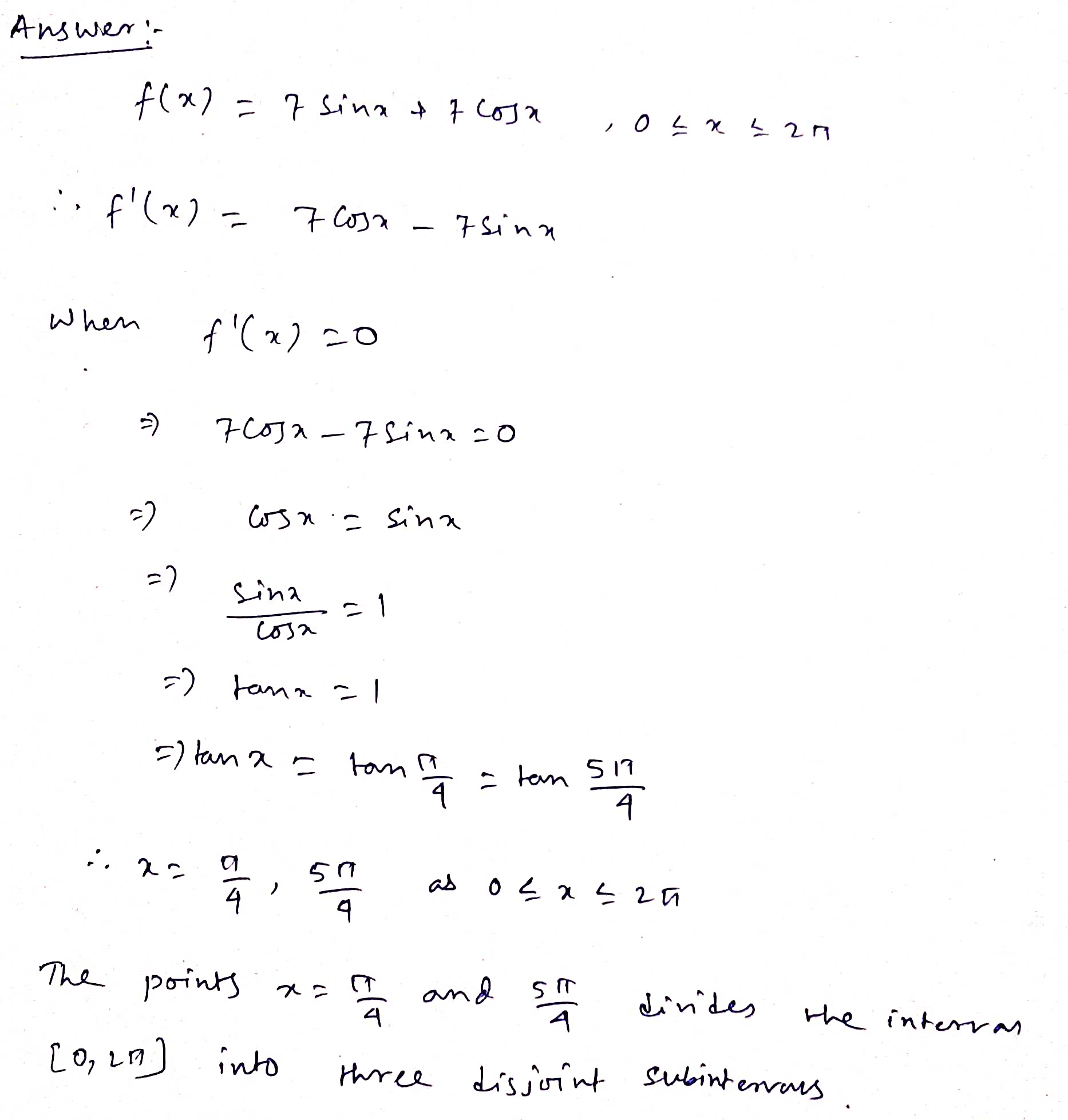
Question: Consider the following. (If an answer does not exist, enter DNE.) f( x) = 7 sin(x) + 7 cos(x), 0 0 NOW , if x






Consider the following. (If an answer does not exist, enter DNE.) f( x) = 7 sin(x) + 7 cos(x), 0 0 NOW , if x E ( 0, g ) U (ST , 2 0 ) f is decreasing if f1 ( 7) LO if a t ( Then, f is increasing on ( 0, I ) U ( , 2 n ) and f is decreasing on 4 + IT local maximum at n 2 IT 4 10 can minimum at a 20 , 12 20 is 7 sino + 7 cos. 0 2 7 and 7 sin 25 + 7 WJ 25 = 0+7 Then , 10cal maximum - 7 is 7VL and local minima 2 7
Step by Step Solution
There are 3 Steps involved in it
Get step-by-step solutions from verified subject matter experts
