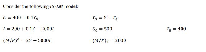
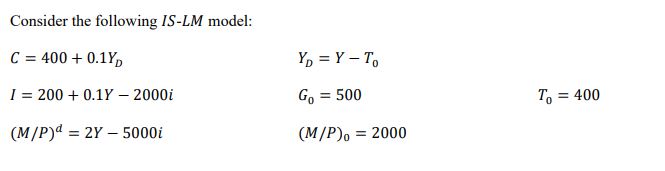
Question: Consider the following IS-LM model: C = 400 + 0.1Y YD = Y-To 1 = 200 + 0.1Y - 2000 Go = 500 To =


Consider the following IS-LM model: C = 400 + 0.1Y YD = Y-To 1 = 200 + 0.1Y - 2000 Go = 500 To = 400 (M/P)d = 2Y - 5000i (M/P)o = 2000
Step by Step Solution
There are 3 Steps involved in it
Get step-by-step solutions from verified subject matter experts
