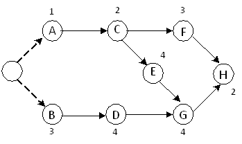
Question: Consider the following project network with normal activity times (in weeks) associated with each node. By adding more resources, some activities may be completed in
- Consider the following project network with normal activity times (in weeks) associated with each node. By adding more resources, some activities may be completed in less than their normal time. The crash times and associated costs per week are given in the table below.


Reference: In-Class Paper Manufacturing Project
To complete the project 3 weeks earlier than current normal time, activities ________ may be crashed.A. D
B. A, F, and E
C. A and G
D. G, E, and D
Step by Step Solution
There are 3 Steps involved in it
1 Expert Approved Answer
Step: 1 Unlock
Question Has Been Solved by an Expert!
Get step-by-step solutions from verified subject matter experts
Step: 2 Unlock
Step: 3 Unlock
