Question: Consider the following recursive definition: Acker( m, n) = Implement the function in C++ and do a box of Acker(1,2).(May require many recursive calls) Read
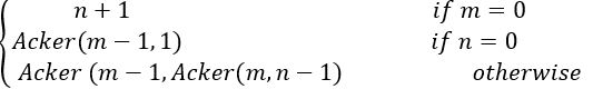
Consider the following recursive definition:
Acker( m, n) = 
Implement the function in C++ and do a box of Acker(1,2).(May require many recursive calls)
Read the document describing memorization. Modify your Acker function so that it utilizes memorization. See if you can get your modified function to calculate the following values:
Acker(3,20) = 8388605
Acker(4,0) = 13
Acker(4,1) = 65533
You almost certainly will need to change the default Stack Reserve Size to about 1 billion
nt 1 Acker(m 1,1) Acker (m -1, Acker(m,n- 1) If n = 0 otherwise
Step by Step Solution
There are 3 Steps involved in it
Get step-by-step solutions from verified subject matter experts
