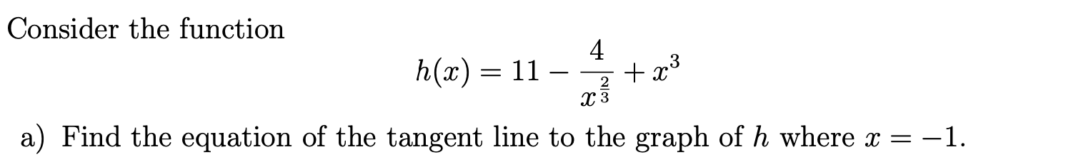
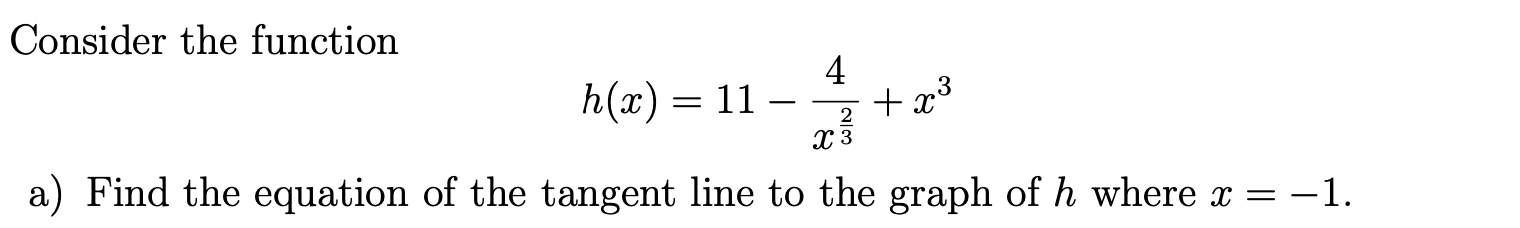
Question: Consider the function 4 Mm) = 11 2+x3 {1:3 a) Find the equation of the tangent line to the graph of h Where a: =




Consider the function 4 Mm) = 11 2+x3 {1:3 a) Find the equation of the tangent line to the graph of h Where a: = 1. 2 Consider the function g(x) = xc + 3 a) Find the derivative of g using differentiation rules. b) Verify your answer in (@) using the limit definition of the derivative
Step by Step Solution
There are 3 Steps involved in it
Get step-by-step solutions from verified subject matter experts
