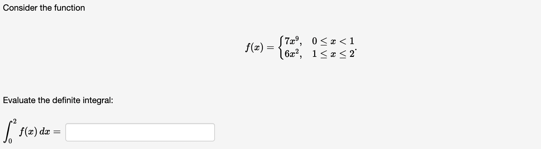
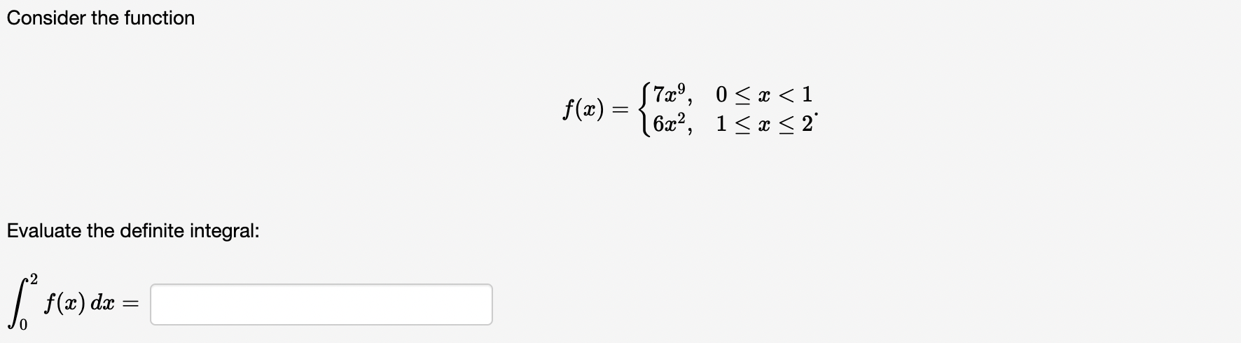
Question: Consider the function f (20) = 1 7x9, 0 Consider the function 7C9 , f(c) 6c2 Evaluate the definite integral: 2 osc


Consider the function f (20) = 1 7x9, 0
Consider the function 7C9 , f(c) 6c2 Evaluate the definite integral: 2 osc
Step by Step Solution
There are 3 Steps involved in it
Get step-by-step solutions from verified subject matter experts
