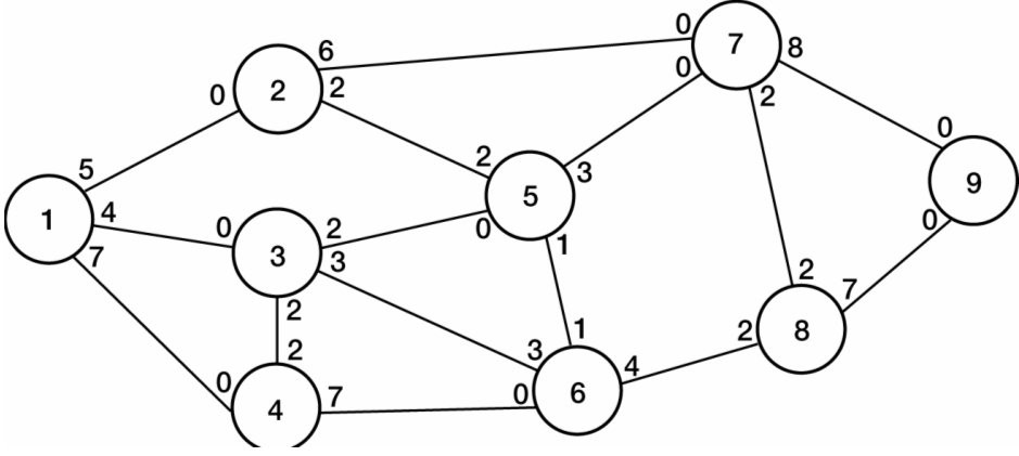
Question: Consider the network diagram given below with the indicated flow capacities along each branch. The maximal flow from source node 1 to destination node 9
Consider the network diagram given below with the indicated flow capacities along each branch.

The maximal flow from source node 1 to destination node 9 is:
Group of answer choices
11
13
10
12
Step by Step Solution
There are 3 Steps involved in it
Get step-by-step solutions from verified subject matter experts
