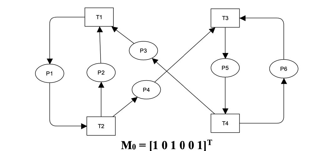
Question: Consider the Place-Transition net shown below. The initial marking vector is given as M0. Give brief justifications for your answers. (A simple yes/no answer is
Consider the Place-Transition net shown below. The initial marking vector is given as M0. Give brief justifications for your answers. (A simple yes/no answer is not enough to earn points.)
You are asked to analyze the net systems in a variety of ways: Specify the properties in terms of the following:
Deadlock & Liveness
Reversibility
Concurrency and/or Conflict
Boundedness
P1 T1 P2 T2 P3 P4 Mo [1 0 1 0 0 1]T = = T3 P5 T4 P6
Step by Step Solution
3.49 Rating (149 Votes )
There are 3 Steps involved in it
Deadlock Liveness Deadlock is a situation in which two or more processes are unable to proceed because each process is waiting for one of the others t... View full answer
Get step-by-step solutions from verified subject matter experts
