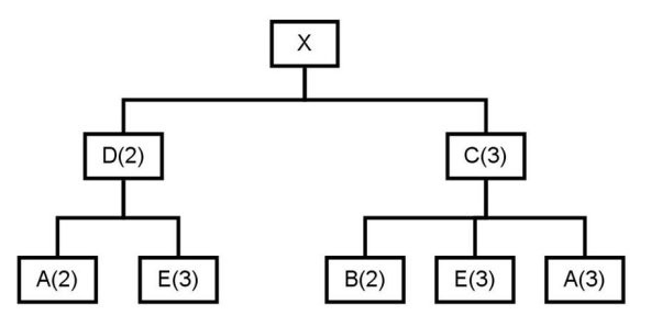
Question: Consider the product structure tree shown below: With a beginning inventory of zero for all components and finished items, how many assembly A's are needed
Consider the product structure tree shown below:

With a beginning inventory of zero for all components and finished items, how many assembly A's are needed to produce 40 product X's?
D(2) C(3) A(2) E(3) B(2) E(3) A(3)Step by Step Solution
There are 3 Steps involved in it
Get step-by-step solutions from verified subject matter experts
