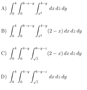
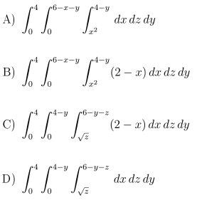
Question: Consider the solid Q bounded by the surfaces S1: z=2- S2 : y + z = 4, Sa :cty tz= 6, SA : y =





Consider the solid Q bounded by the surfaces





S1: z=2- S2 : y + z = 4, Sa :cty tz= 6, SA : y = 0, Ss : z= 0\fS = SUSUSUSUS,)F
Step by Step Solution
There are 3 Steps involved in it
Get step-by-step solutions from verified subject matter experts
