Question: Consider the Solow model that we had in class and suppose that TFP does not grow, i.e., g = O. A steady state for this








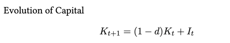
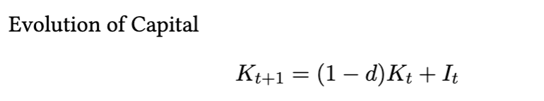
Consider the Solow model that we had in class and suppose that TFP does not grow, i.e., g = O. A steady state for this model is dened as a level of capital-per-capita that is stationary. In other words, if capital-per-capita is at its steady state level, kg at period t, then it will stay at ks at t + 1 and so on and on. A Use the law of motion for capital and write an equation for ks. Find all solutions of this equation; your answer should depend on the level of TFP (remember that it is not changing), saving rate, emp.-pop. ratio, and depreciation rate. How many steady states are there? Which ones are reasonable? B What is the steady state level of GDP-per-capita? C Consider an economy that is in steady state and is hit by war that leads to a major de- struction of capital. Qualitatively, plot the evolution of GDP-per-capita over time in this economy. On the x-axis you should have time and on the y-axis, you should have GDP- per-capita. Simplification: Households save a constant fraction of their income - 'Rule of Thumb" savings: Ct + St = Yt, and St = sYtEvolution of Capital Ktti = (1 - d)Kt + ItAggregate production function in each period: Yt = ztF(Kt, Lt) = ztK9.3 10.7 Ingredients: . Productivity Growth: Azt = g . Labor: Lt = eNt, e
Step by Step Solution
There are 3 Steps involved in it
Get step-by-step solutions from verified subject matter experts
