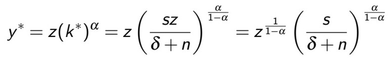
Question: Consider the Solow model, with production function Y= K 2/3 *L 1/3 . There are two countries, A and B, which have the same parameters,
Consider the Solow model, with production function Y= K2/3*L1/3. There are two countries, A and B, which have the same parameters,
except the savings rate. In particular, the savings rate of country A is 2 times higher than that of country B. Demonstrate that at steady state the income per worker of A is four times higher than that of B.
Hint:
Income per worker in steady state is

Step by Step Solution
There are 3 Steps involved in it
Get step-by-step solutions from verified subject matter experts
