Question: Consider the two-period model in partial equilibrium, i.e. the endowment economy. Assume now the government decides to balance its budget with proportional consumption taxes c.
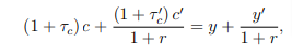
Consider the two-period model in partial equilibrium, i.e. the endowment economy. Assume now the government decides to balance its budget with proportional consumption taxes c. The household budget constraint becomes
, while the government budget constraint is
. Derive and explain the equilibrium condition for optimal intertemporal allocation of consumption. (150 words, 15 points)
(1 + Tc)c+ (1 + r) 1+r = y + 1+r g 9+ 1+T = + . 1+r
Step by Step Solution
There are 3 Steps involved in it
Get step-by-step solutions from verified subject matter experts
