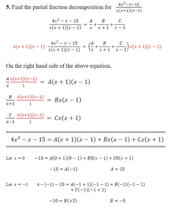
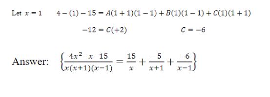
Question: Consider this example provided by my teacher: 4x -x-15 5. Find the partial fraction decomposition for Let x 1 4x2 x 15 x(x + l)(x



Consider this example provided by my teacher:



4x -x-15 5. Find the partial fraction decomposition for Let x 1 4x2 x 15 x(x + l)(x 1) + l)(x 1) On the right hand side of the above equation, Ax (x 1 c 1 1 4x2 x Bx(x 1) Cx(x + 1) 15 = -F 1) + BX(X 1) + CX(X + I) Let x O 15 = + I) (O I) + B O (X I) + (x + I) -15 A(-l) A 15 4 - (-1) 15 + 1)(1 1) + 1) -10 - B(+2)
Step by Step Solution
There are 3 Steps involved in it
Get step-by-step solutions from verified subject matter experts
