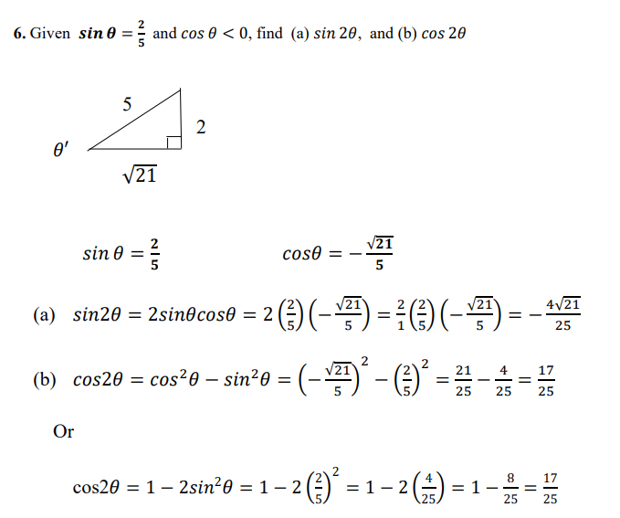
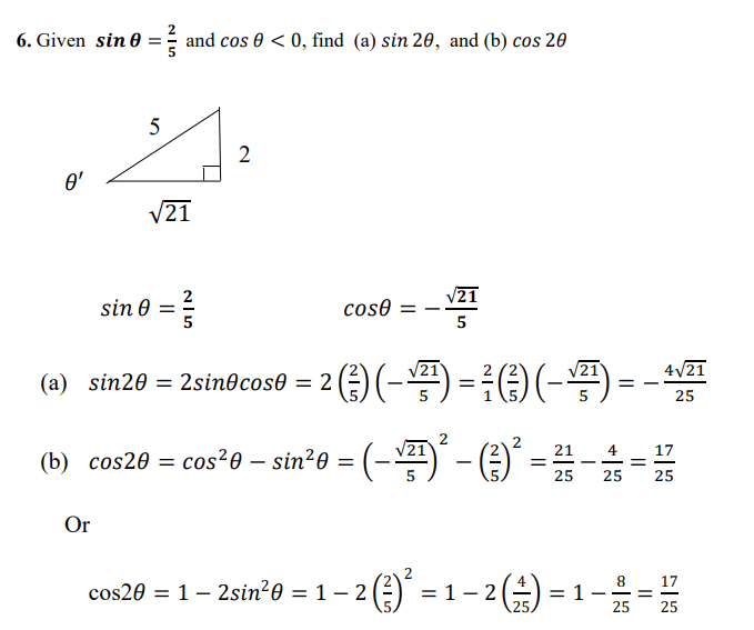
Question: Consider this example provided by my teacher: 6. Given sin 0 = = and cos 0 6. Given sin = and coso < O, find


Consider this example provided by my teacher:


6. Given sin 0 = = and cos 0
6. Given sin = and coso < O, find (a) sin 29, and (b) cos 20 = 1-2 21 sin 9 = cos9 = sin20 = 2sinOcos9 2 (a) (b) cos20 = cos20 sin29 = 21 21 21 25 Or cos29 = 1 2sin 9 25 4 25 25 4 21 25 17 25 17 25
Step by Step Solution
There are 3 Steps involved in it
Get step-by-step solutions from verified subject matter experts
