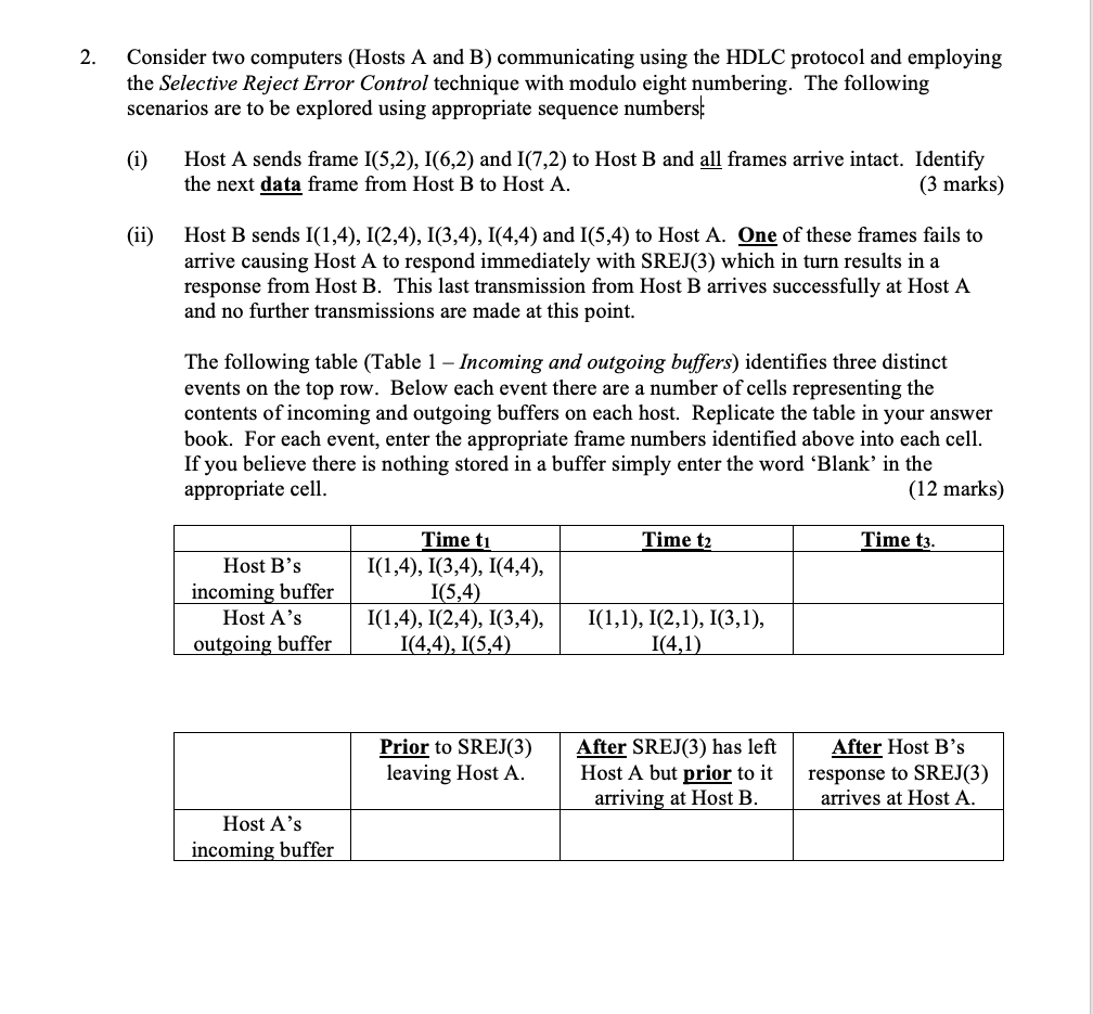
Question: Consider two computers ( Hosts A and B ) communicating using the HDLC protocol and employing the Selective Reject Error Control technique with modulo eight
Consider two computers Hosts A and B communicating using the HDLC protocol and employing
the Selective Reject Error Control technique with modulo eight numbering. The following
scenarios are to be explored using appropriate sequence numbers:
i Host A sends frame and to Host and all frames arrive intact. Identify
the next data frame from Host B to Host A
ii Host B sends and to Host A One of these frames fails to
arrive causing Host A to respond immediately with SREJ which in turn results in a
response from Host B This last transmission from Host B arrives successfully at Host A
and no further transmissions are made at this point.
The following table Table Incoming and outgoing buffers identifies three distinct
events on the top row. Below each event there are a number of cells representing the
contents of incoming and outgoing buffers on each host. Replicate the table in your answer
book. For each event, enter the appropriate frame numbers identified above into each cell.
If you believe there is nothing stored in a buffer simply enter the word 'Blank' in the
appropriate cell.
marks
Step by Step Solution
There are 3 Steps involved in it
1 Expert Approved Answer
Step: 1 Unlock
Question Has Been Solved by an Expert!
Get step-by-step solutions from verified subject matter experts
Step: 2 Unlock
Step: 3 Unlock
