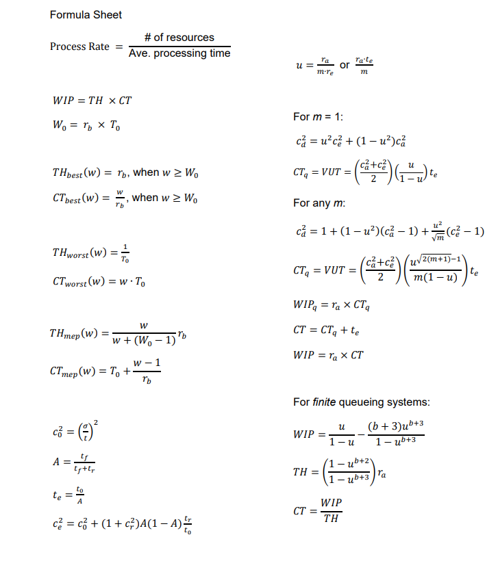
Question: Consider two digital fuel pumps A and B that could be used in a single gas station. Pump A has a mean effective process time
Consider two digital fuel pumps A and B that could be used in a single gas station. Pump A has a mean effective process time of 4 minutes with squared-coefficient of variation of 0.5. Pump B has a mean effective time of 3 minute with squared-coefficient of variation of 5. (a) Assume that the arrival rate of cars is 0.2 car per minute with squared-coefficient of variation of 5
Assume that the number of pumps in the gas station could be two (two pumps of A or two pumps of B). What will happen to cycle time if the arrival rate of cars is doubled? (Pumps A) te: _________ ce 2 : _________ ra: _________ ca 2 : _________ u: _________ CTq: _________ CT: _________ (Pumps B) te: _________ ce 2 : _________ ra: _________ ca 2 : _________ u: _________ CTq: _________ CT: _________

Step by Step Solution
There are 3 Steps involved in it
Get step-by-step solutions from verified subject matter experts
