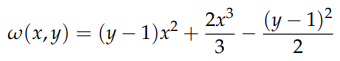
Question: Considering the function I have put below and please show all of its stationary points. Please show how you calculated the value D = ?
Considering the function I have put below and please show all of its stationary points. Please show how you calculated the value D = ?xx?yy ? (?xy)2 at each of the stationary points, and indicated whether D allows you to identify the stationary point as a maximum, a minimum or a saddle point.

21-3 w(x, y y - 1 2 (y - 1)x2 + 3 2
Step by Step Solution
There are 3 Steps involved in it
Get step-by-step solutions from verified subject matter experts
