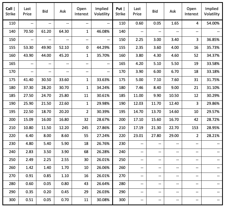
Question: Construct a binomial tree for June 17, 2022, assuming the stock price moves just once and determine the European call option value for a strike
Construct a binomial tree for June 17, 2022, assuming the stock price moves just once and determine the European call option value for a strike price of USD 200? [if necessary, make reasonable assumptions (e.g., no dividends in the period)]
The annual risk-free interest rate on December 3, 2021, was 0.26%.

Call Strike Last Price Bid Ask Open Implied Interest Volatility Put | Strike Last Price Bid Ask Open Interest Implied Volatility 110 110 0.60 0.05 1.65 4 54.00% 140 70.50 61.20 64.30 1 46.08% 140 150 -- 150 2.25 3.00 3.40 3 36.85% 155 53.30 49.90 52.10 0 44.29% 155 2.35 3.60 4.00 16 35.73% 160 43.90 44.00 45.20 1 35.70% 160 3.80 4.30 4.60 52 34.37% 165 --- 165 4.20 5.10 5.50 19 33.58% 170 --- 170 3.90 6.00 6.70 18 33.18% 175 41.40 30.50 33.60 1 33.63% 175 5.00 7.10 7.60 31 31.75% 180 37.30 28.20 30.70 1 34.24% 180 7.46 8.40 9.00 21 31.10% 185 27.50 24.70 25.80 11 30.61% 185 11.00 9.90 10.50 12 30.29% 190 25.90 21.50 22.60 1 29.98% 190 12.03 11.70 12.40 3 29.86% 195 22.50 18.70 20.20 2 30.39% 195 14.70 13.70 14.60 10 29.57% 200 15.09 16.00 16.80 32 28.67% 200 17.10 15.60 16.70 42 28.72% 210 10.80 11.50 12.20 245 27.86% 210 17.19 21.30 22.70 153 28.95% 220 6.40 8.00 8.60 55 27.24% 220 23.01 27.80 29.00 2 28.21% 230 4.80 5.40 5.90 18 26.76% 230 -- 240 2.83 3.50 3.90 68 26.28% 240 -- -- -- 250 2.49 2.25 2.55 30 26.01% 250 -- -- 260 1.42 1.40 1.70 10 26.06% 260 --- -- 270 0.91 0.85 1.10 16 26.01% 270 -- - 280 0.60 0.05 0.80 43 26.64% 280 -- -- -- 290 0.35 0.20 0.45 29 26.03% 290 300 0.51 0.05 0.70 11 30.08% 300
Step by Step Solution
There are 3 Steps involved in it
Get step-by-step solutions from verified subject matter experts
